



Bond–slip analysis plays a crucial role in understanding the mechanical interaction between reinforcing steel and concrete, particularly in the evaluation of bond performance under load. In reinforced concrete structures, the transfer of stress between the ribbed steel bar and the surrounding concrete is governed by the bond mechanism, which directly influences structural stiffness, load transfer, crack control, and overall durability. The pull-out test is one of the most widely used experimental methods for investigating this behavior, as it provides controlled conditions for studying the local bond response, including bond strength, slip development, and the progression of cracking within the concrete.
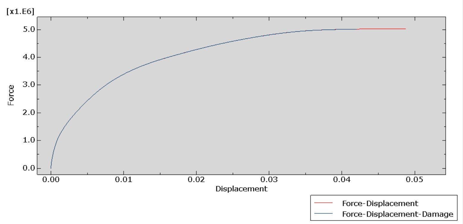
In this case, the steel ribbed bar is modeled as a 3D part, and the concrete also is. The Concrete Damaged Plasticity model is so suitable for this case. The dynamic explicit step is selected to demonstrate the dynamic behavior. At the end, the bond-slip diagram is drawn by using the force and the average displacement.
In numerical simulation, bond–slip analysis enables detailed observation of the interfacial stress distribution and the evolution of slip under increasing load, which is difficult to capture accurately through experiments alone. By modeling the steel bar, concrete, and their interface using appropriate constitutive laws, simulation helps predict failure modes, assess the influence of parameters such as concrete strength, bar geometry, and confinement, and validate theoretical bond–stress models. For ribbed reinforcement, the mechanical interlock between the ribs and the surrounding concrete plays a dominant role, leading to nonlinear bond behavior that must be captured with realistic interface laws.
The pull-out test simulation of a ribbed steel bar embedded in concrete, therefore, provides valuable insight into the fundamental mechanics of bond interaction and contributes to the design and optimization of reinforced concrete members with reliable load-transfer performance.
Abaqus
€81,00 €39,00
Abaqus
€299,00 €249,00
Uncategorized
€95,00 €80,00
Abaqus
€79,00 €38,00
Abaqus
€68,00 €34,00
Abaqus
€77,00 €39,00
Abaqus
€79,00 €39,00
See more
Want to receive push notifications for all major on-site activities?